Download Soal Ekponen Doc
Persamaan dan pertidaksamaan Eksponen dan Logaritma 5. Di halaman ini kamu bisa download latihan soal Zenius secara GRATIS yang terdiri dari ribuan set soal mencakup 11 mata pelajaran dari SD sampai SMA.
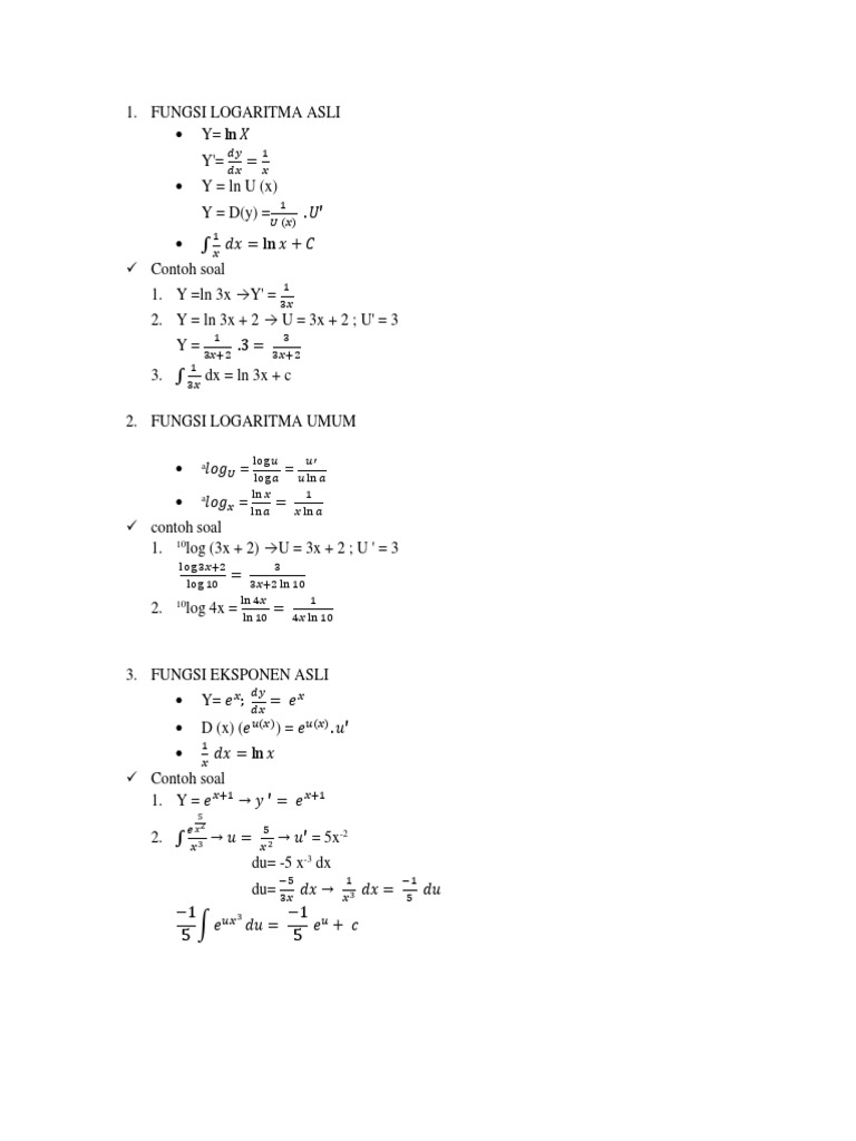
Pada kesempatan kali ini saya akan berbagi tentang fungsi eksponen tapi cuma contoh soal dan penyelesaiannya.

Download soal ekponen doc. Pembahasan latihan soal eksponen dan bentuk akar sma. Matematikastudycenter kumpulan soal ujian nasional matematika sma materi fungsi eksponen dan fungsi logaritma dari tahun 2007 hingga 2011 dan 2012 2013 2014 tercakup indikator menyelesaikan pertidaksamaan eksponen atau logaritma dan menyelesaikan masalah yang berkaitan dengan fungsi eksponen atau fungsi logaritma inversnya grafik persamaan dan pertidaksamaan. Himpunan penyelesaian pertidaksamaan 2 log x 2 -3x 2 2 log 10 -x x R adalah.
Untuk soal seperti di atas maka kita perlu mengingat sifat logaritma a. Setelah menerima materi kamu bisa langsung mempraktikkannya dengan mengerjakan latihan soal yang telah kami sediakan. Contoh Soal Eksponen Kumpulan Soal Pelajaran 5 Soal eksponen dan logaritma kelas x sma download share this.
Kelas 10 kumpulan soal matematika sma. 1 indeks logaritma merupakan indeks yang seragam indeks 2 -Sedangkan pada soal no. Kumpulan soal mudah sedang sukar.
Halo setelah kalian membaca materi logaritma sekarang akan disajikan latihan soal logaritma yang bisa kalian coba kerjakan. Akar -akar persamaan 3 2x1 -283 x 9 0 adalah x 1 dan x 2. Rumus sifat fungsi persamaan dan contoh soal belakangan ini ilmu matematika telah berkembang pesat.
Soal juga dapat diunduh dalam format PDF dengan mengklik tautan berikut. Gambar grafik yang disajikan di dalam postingan ini merupakan produk dari penggunaan aplikasi Geogebra. 32 Soal Ujian Nasional Tahun 2000 4 x 2 3 16 x 5 x 5 x 2 4 16 3 x 5 x 2 4 4 2 3 gunakan kesamaan pada eksponen 2 x 10 x2 3 3x 6 2x 10 3x 2x 10 6 x4 2x 24 16 20.
Create and edit web-based documents spreadsheets and presentations. Download 3 Paket Naskah Asli Soal Ujian Nasional Matematika SMPMTs Tahun 2019. Download PDF - Soal Matematika Pembahasan Eksponen Logaritma pon2g091py40.
Paket soal akan terus dilengkapi seiring dengan berjalannya waktu. Download Bank Soal TPS Pengetahuan Kuantitatif Ujian Tulis Berbasis Komputer 2019 Per-Materi. Jika x1 x2 maka nilai 3x 1 - 16.
Download Soal Ujian Nasional UN UNBK dan UNKP 2019 SMPMTs Lengkap Semua Pelajaran. Soal Dan Pembahasan Persamaan Eksponen 1 5 Istana Mengajar. Contoh soal fungsi eksponen kelas 10 dan pembahasannya.
Pelajari ringkasan materi contoh soal eksponen kelas 10 logaritma beserta pembahasan jawaban lengkap dari soal UN dan SBMPTN. Dengan menggunakan sifat pertidaksamaan eksponen maka. Silakan pilih sesuai materi yang diinginkan.
Ditemukan akar-akar pertidaksamaan kuadratnya yaitu. Download PDF 340 KB. Dengan menggunakan sifat-sifat.
Semua latihan soal pada halaman ini sudah disesuaikan dengan kurikulum KTSP Kurikulum 2013 dan Kurikulum 2013 Revisi. Nilai adalah Pembahasan. Store documents online and access them from any computer.
Contoh soal eksponen kelas 10 dan pembahasannya doc. Karena yang dicari adalah 0 maka nilai x yang memenuhi adalah Jawaban. Contoh soal eksponen dan penyelesaiannya kelas 10.
Matematikastudycenter kumpulan soal ujian nasional matematika sma materi fungsi eksponen dan fungsi logaritma dari tahun 2007 hingga 2011 dan 2012 2013 2014 tercakup indikator menyelesaikan pertidaksamaan eksponen atau logaritma dan menyelesaikan masalah yang berkaitan dengan fungsi eksponen atau fungsi logaritma inversnya grafik persamaan dan pertidaksamaan. Contoh soal dan pembahasan persamaan eksponen kelas 10. Soal 6 Akar-akar persamaan adalah dan.
Persamaan dan pertidaksamaan eksponen merupakan salah satu materi pelajaran matematika kelas 10 SMA. Berikut disajikan sejumlah soal dan pembahasan terkait fungsi eksponen pangkat yang dipelajari saat kelas X pada mata pelajaran Matematika Peminatan. Berikut ini merupakan tautan untuk mengunduh download paket soal matematika sekolahSemua file diunduh dalam format Portable Document Format PDF.
Download Soal SIAP UN Matematika SMA 2018 Program IPS. Soal Ujian Nasional Tahun 2004Materi Pokok. Pelajaran Soal Rumus Pertidaksamaan Eksponen Kalau kamu ingin mendalami materi pertidaksamaan eksponen coba simak penjelasan yang ada di sini.
A log b c a log b a log c dan. Menggambar grafik fungsi eksponen doc. 1 ubah bentuk pangkat pada soal soal berikut menjadi bentuk logaritma.
Soal Dan Pembahasan Pertidaksamaan Eksponen Soal 3 jika dan maka nilai pembahasan. Zona ilmu 9 contoh soal menggambar grafik fungsi eksponen contoh soal cerita eksponen kelas 10 dan pembahasannya barisan contoh soal matematika persamaan eksponen kelas 12 lengkap dengan contoh soal fungsi eksponensial pilihan ganda. Soal 5 Nilai yang memenuhi adalah Pembahasan.
Tentukan penyelesaian dari 3 2x-2 5 x-1 Jawab.
Doc Contoh Soal Eksponen Evie Miftalia Academia Edu
Pin By Sohrab Khan Yousafzai On Pelajaran In 2020 Math Formulas Studying Math Learning Mathematics
Os2kangkung Soal Dan Pemb Un Matematika Bab Bentuk Pangkat Akar Dan Logaritma Matematika Pendidikan Belajar
Persamaan Logaritma Rumus Sifat Fungsi Dan Contoh Soal
Contoh Soal Aplikasi Eksponensial
Contoh Soal Persamaan Eksponen
Soal Persamaan Eksponen Kelas 10 Doc Download File Guru
Sifat Logaritma Bukti Contoh Soal Dan Penyelesaiannya In 2020 Math Workbook Learning Mathematics Math Formulas
Doc Bab 21 Fungsi Eksponen Dan Logaritma Risa Marliyana Academia Edu
Posting Komentar untuk "Download Soal Ekponen Doc"